Saltar menú de navegación Teclas de acceso rápido
Economía Recomposición en línea con la inflación

Aumento a trabajadores bancarios: cuánto cobran en noviembre con el bono por su Día

El sindicato definió con la parte empresarial de cuánto será el nuevo aumento para los trabajadores del sector. Además, la suba también impactará en el bono por el Día del Bancario. Cómo quedan todas las escalas.

24 de Octubre de 2024

El sindicato definió con la parte empresarial de cuánto será el nuevo aumento para los trabajadores del sector. Además, la suba también impactará en el bono por el Día del Bancario. Cómo quedan todas las escalas.

Bancarios: cuánto cobran en noviembre con el bono. Los trabajadores bancarios recibirán en noviembre un aumento de sueldo del 3,5%. Así lo determinaron la Asociación Bancaria y las cámaras del sector, que acordaron en negociaciones paritarias una recomposición en línea con el último dato de inflación de septiembre que dio a conocer el INDEC.

 

El nuevo incremento será sobre los sueldos de agosto, para todas las remuneraciones mensuales brutas, normales, habituales y totales, remunerativas y no remunerativas, incluyendo los adicionales convencionales y no convencionales.

 

 

Los empresarios "deberán abonar la diferencia que surja entre la inflación acumulada entre los meses de enero a septiembre 2024 inclusive, tomando como referencia los salarios de diciembre 2023, y los incrementos ya otorgados en el 2024. Dicho incremento representa un 3,5% con respecto al mes de agosto. El mismo deberá ser abonado junto con los salarios del mes de octubre", detallaron desde La Bancaria.

 

101,6% en los primeros nueve meses

Con este aumento, el sindicato que lidera Sergio Palazzo acumula en los primeros nueve meses del año una recomposición total del 101,6% y lleva el salario básico por encima del millón y medio de pesos (incluyendo la participación por Ganancias).

 

"De esta manera, una vez más, desde la Asociación Bancaria garantizamos la aplicación de los índices inflacionarios mensuales para que los trabajadores/as bancarios/as no pierdan contra la inflación, salvaguardando el poder adquisitivo de nuestros representados/as", destacaron desde el gremio a El Cronista.

 

Día del Bancario: Bono

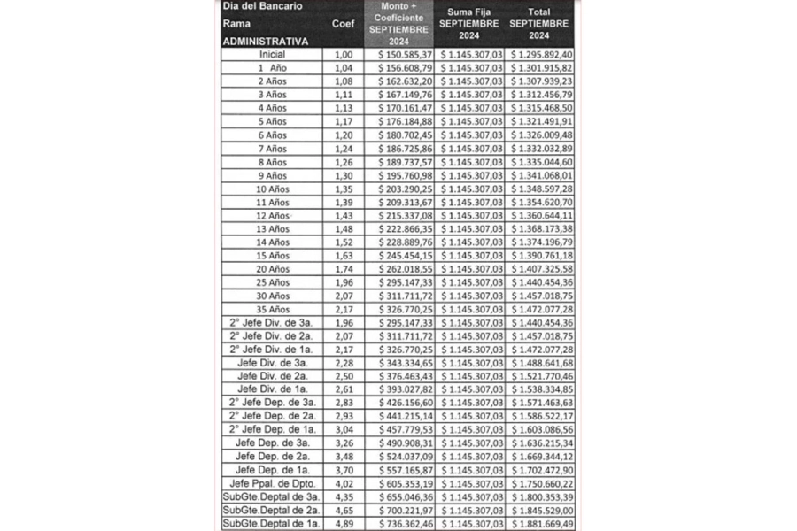
La suba también impactará en el bono por el Día del Bancario, que en nuestro país se celebra el próximo 6 de noviembre y cuyo piso se ubica ahora en $ 1.295.892,40.

Sobre la diferencia del IPC correspondiente al mes de octubre por el concepto Día del Bancario, confirmaron que la misma será abonada con los sueldos del mes de noviembre.

 

Bancarios: con aumento, cuánto cobran en noviembre y cómo quedan el bono y las escalas

 

Rama Administrativa:

(Foto: El Cronista)
(Foto: El Cronista)

 

Bono Día del Bancario:

(Foto: El Cronista)
(Foto: El Cronista)

 

Adicionales:

(Foto: El Cronista)
(Foto: El Cronista)

Temas:

bancarios sueldos Pesos aumento bono
Seguí las noticias de Elonce.com en Google News Seguinos en Google News

Comentarios

Tu comentario ha sido enviado, el mismo se encuentra pendiente de aprobación... [X]
Avatar
600
Avatar
ver más
El comentario se encuentra deshabilitado

Denunciar comentario

Spam o contenido comercial no deseado Incitación al odio o a la violencia, o violencia gráfica Acoso o bullying Información errónea
Cancelar Denunciar
Reportar Responder
Tu comentario ha sido enviado, el mismo se encuentra pendiente de aprobación... [X]
Avatar
600
Respuestas
Ver más respuestas
Ver más comentarios
IMPORTANTE: Los comentarios publicados son exclusiva responsabilidad de sus autores Elonce.com se reserva el derecho de eliminar aquellos comentarios injuriantes o discriminadores.

Teclas de acceso